量子点和表面等离激元相互作用可以形成束缚态,此时,处于激发态的量子点不会完全衰减到基态,而是演化到此束缚态上。最近,吉首大学物理与机电工程学院的黄勇刚教授与王小云教授合作指导硕士研究生文莎莎,提出了一套系统的数值研究方法,能快速确定束缚态的形成条件以及获得量子点的非马尔科夫自发辐射动力学。相关文章发表于Optics Express 28(5):6469-6489(2020)。
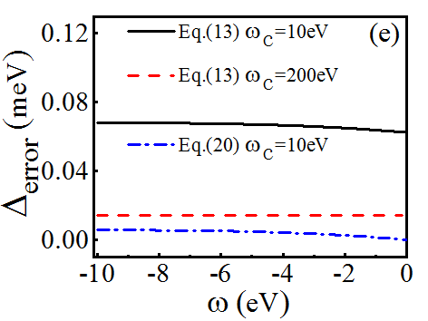
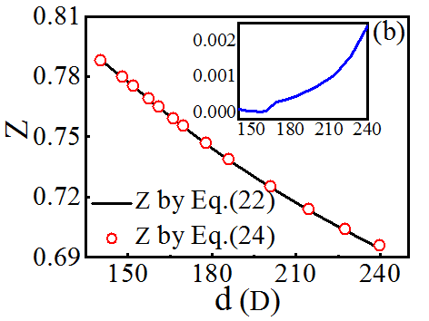
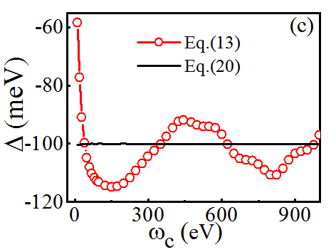
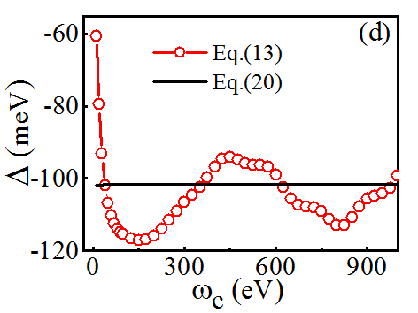
具体的,确定系统是否存在束缚态只需计算微纳结构中量子点处的0频光子散射格林函数(见公式25)。当系统存在束缚态时,我们提供了一种无需束缚态本征频率即可快速求解稳态时量子点处于激发态的几率(见公式24)。此外,我们推广了课题组之前所发展的快速准确计算能级移动的方法(Physical Review A 99(5), 053844 (2019)),发现了负频率时的能级移动与正频时能级移动的非共振项之间的相等关系(见公式20),相比于通用的方法(见公式13),该方法计算结果准确,收敛快(见图2和图7)。利用该结果,我们可快速准确获得束缚态的本征频率(公式21的零点)。利用所得的能级移动和束缚态共振频率,我们发现格林函数预解算子方法能快速准确求解系统的动力学,且系统的非马尔科夫动力学可通过公式26解释为非共振干涉。
该工作得到了国家自然科学基金(11564013, 11964010, 11564012, 11464014, 11464013)和湖南省研究生创新基金(CX2018B706, CX20190876)的支持。
[1] Sha-Sha Wen, Yong-Gang Huang*, Xiao-Yun Wang*, Jie Liu, Yun Li, Xiu-E Quan, Hong Yang, Jin-Zhang Peng, Ke Deng, and He-Ping Zhao, Opt.Express 28(5)(2020).
https://www.osapublishing.org/oe/abstract.cfm?uri=oe-28-5-6469&origin=search#figanchor2






图1:纳米球附近量子点的自发辐射率和能级移动


图2:最小本征频率和激发态的振幅随跃迁偶极矩的变化




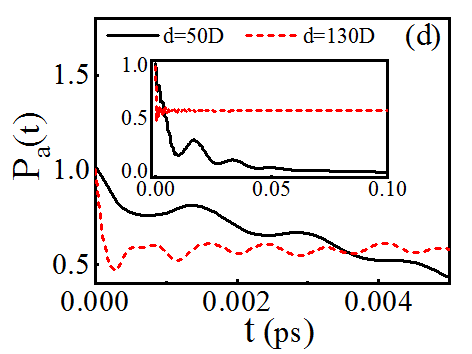
图3:激发态几率特性与演化谱






图4:纳米柱的自发辐射率和能级移动。左边一列是高20纳米,右边一列高50纳米,半径都为4纳米。图c和d展示了我们方法(公式20)的快速收敛特征




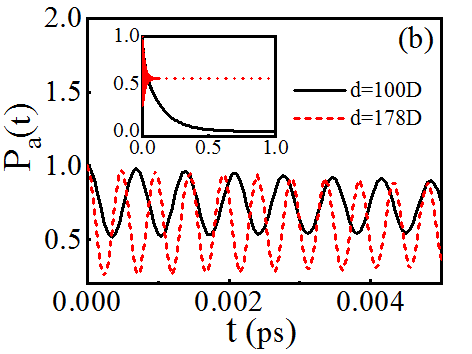
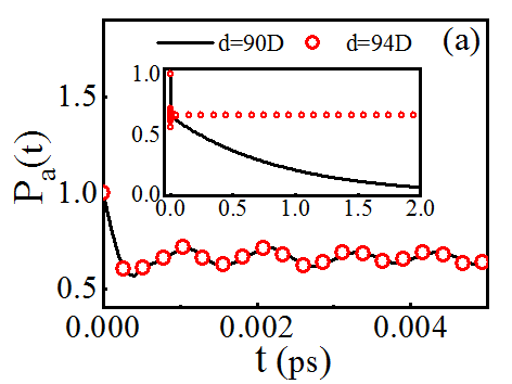
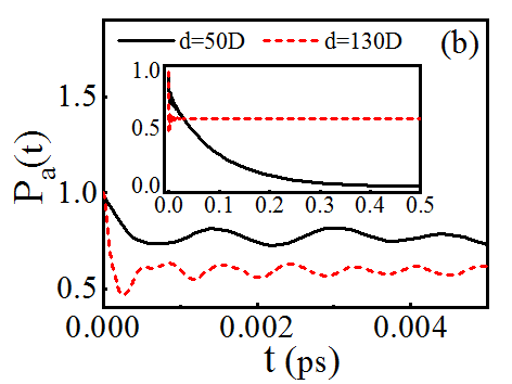
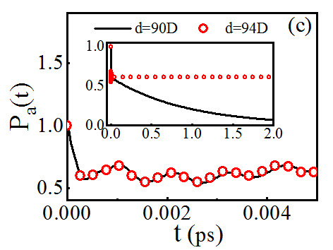
图5:高为20纳米和50纳米,半径为4纳米的纳米腔中量子点的激发态几率特性
【关闭】